ТРЕНДЫ
- Из-за вынужденного простоя, связанного с эпидемией
коронавируса, большинство собственников бизнес-центров пошло на уступки арендаторам, снизив размер арендной платы или предложив отсрочку внесения платежей.
- Весной 2020 г. многие компании значительно, на 10-30%, сократили штат сотрудников и за счет этого оптимизировали расходы на аренду офиса.
- В ближайшее время наибольшим спросом будут пользоваться отдельные помещения площадью 40-50 кв. м. А популярные форматы опенспейс и коворкинг могут попасть под законодательные ограничения.

МЕТОДИКА
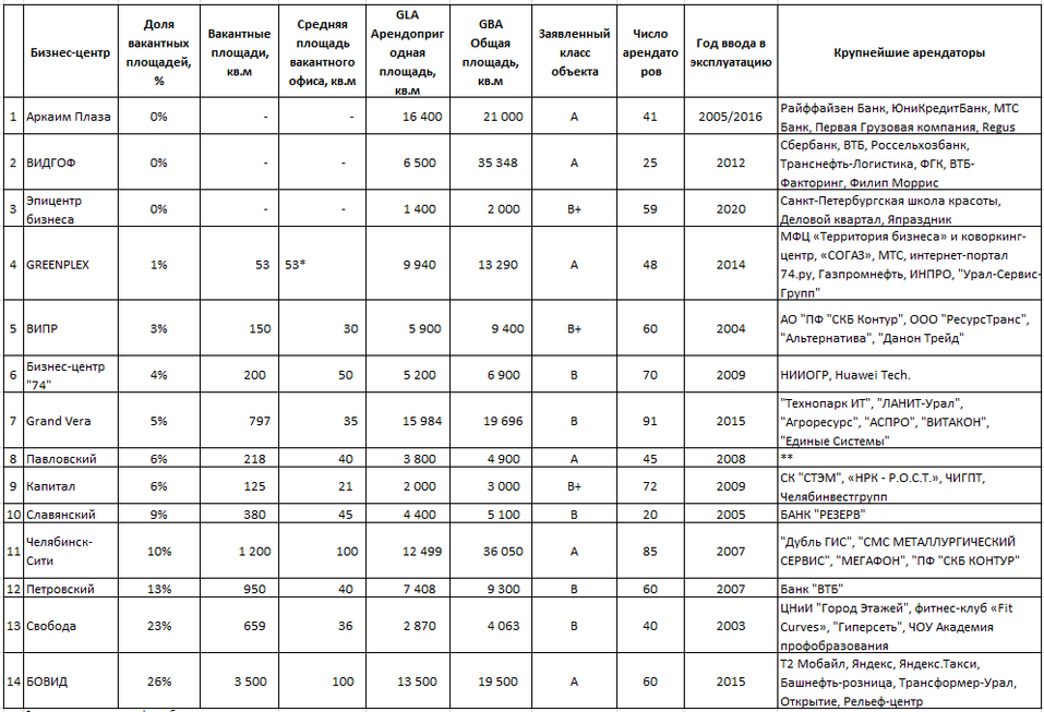
В топ-листе участвуют крупнейшие расположенные в Челябинске бизнес-центры и центры офисной недвижимости A и В классов, действующие на 01.01.2020 г. и предоставившие данные для рейтинга.
Как проводился отбор участников
На первом этапе специалисты аналитической группы «Делового квартала» проанализировали открытые источники и официальные сайты управляющих компаний офисной недвижимости города, а также провели экспертный опрос, на основании которого определили показатели, используемые в ренкинге. На основании полученных данных был определен круг компаний, которым было предложено предоставить информацию для участия в топ-листе.
На втором этапе специалисты разослали УК и собственникам офисной недвижимости анкеты для уточнения дополнительных показателей деятельности. Полученная информация была перепроверена. Кроме того, были проанализированы открытые источники: сайты, посвященные сдаче в арену офисной недвижимости, сайты бизнес-центров.
По каким показателям ранжируются участники
Основной ранжирующий показатель — количество вакантных арендных площадей на февраль 2020 г. Дополнительные показатели — размер арендной ставки, структура арендных площадей.
Топ-лист от 01.03.2020 г. подготовлен компанией Development PRO

Средний минимальный показатель арендной ставки в бизнес-центрах Челябинска составляет 664 руб. за кв. м в месяц, показал рейтинг, подготовленный CHEL.DK.RU и компанией DevelopmentPRO. Это почти втрое ниже самой высокой планки — 2,2 тыс. руб. за кв. м, установленной в бизнес-центре «ВИДГОФ». Также в тройке офисных комплексов с самой высокой арендной ставкой — «Аркаим Плаза» и «Бовид». При этом первые два бизнес-центра заявляют об отсутствии вакантных площадей.

Весной из-за вынужденного простоя, связанного с эпидемией коронавируса, большинство собственников бизнес-центров пошло на уступки арендаторам, снизив размер арендной платы или предложив отсрочку внесения платежей, чтобы из бежать массового оттока.
МНЕНИЯ ЭКСПЕРТОВ
Дмитрий Агапкин, коммерческий директор офисного комплекса Greenplex
Естественно, карантин затронул рынок офисной недвижимости, и отразилось это не только в режиме работы бизнес-центров, но и в перестройке работы с арендаторами, их обращениями и ожиданиями. На рынке доминировали две схемы работы с арендаторами: жесткое «нет» на предоставление скидки и прозрачный пакет антикризисных мер в строго оговоренные сроки. Тем не менее, практически все бизнес-центры предпочли договариваться с арендатором, хотя и не всегда это выражалось в прямом снижении арендных ставок.
Не секрет, что в начале 2020 года практически все бизнес-центры заявляли о 100% заселении, сейчас практически все игроки понесли потери, особенно — бизнес-центры премиум-класса. Видно и понятно стремление компаний сократить операционные расходы, а заработная плата и аренда — это наиболее затратные части бюджета компаний. В выигрыше оказались те бизнес-центры, которые по техническому оснащению, месту расположения, инфраструктуре были на уровне лидеров рынка, у которых соотношение цены и качества оказалось самым выгодным. Как всегда, большой спрос на качественные офисы маленькой площади — 40-60 кв.м.
Данная ситуация, на мой взгляд, продлится до конца года. За это время компании отойдут от шока, поймут, что ожидать от ситуации в экономики и найдут свое новое место на рынке.
Рейтинг бизнес-центров по величине арендной ставки

Сергей Спиридонов, управляющий партнер группы компаний «Бизнес-дом Спиридонов»
Если смотреть на рынок коммерческой недвижимости города, то ничего не кардинально за прошедший год не изменилось: сколько было проблемных зданий, столько и осталось. Конечно, сменяется часть арендаторов, кое-где съезжают якорные арендаторы, но я бы не называл это серьезными проблемами рынка. Большинство потерь арендаторов происходят не из-за кризиса или закрытия бизнесов арендаторов, а от плохого менеджмента. Живя в стране, где каждые 3-4 года случается глобальный кризис, многие собственники не могут выработать отношения к арендному бизнесу как к полноценному b2b, которым нужно заниматься каждый день: отслеживать тенденции, работать с целевой аудиторией, проводить исследования рынка, думать об инновациях. Списывать все на COVID-19, который убил бизнес, — легко. Но посмотрите на успешные проекты: тот же Greenplex заполнен не потому, что это офисы класса A+, а потому, что комплекс стал точкой притяжения для федеральных компаний.
Сегодня арендатор выбирает не квадратные метры, а атмосферу, в которой ему придется проводить большую часть своей жизни, а офисные комплексы все еще гоняются за псевдоценностями: высокий этаж, громкое название, дорогой мрамор в отделке, и при этом — полное отсутствие парковочных мест, хорошего питания, зон отдыха.
Очередной кризис показал, насколько большинство «лендлордов» не готовы работать с оглядкой на современные тренды. Я бы сравнил большинство челябинских офисных комплексов с базами отдыха советских времен: построили здание, нарезали на офисы, ждем — все равно придут. А при современном подходе изначально все строится под конкретную целевую аудиторию, создается инфраструктура, нанимается персонал.
Так что нельзя сказать, что на рынке новый кризис — мы из него и не выходили с 2014 года, но главная проблема — в слабом управлении и отсутствии концепции офисной недвижимости. Приходит время пересмотреть принципы работы: рынок теперь принадлежит арендаторам, а не арендодателям. Кто успеет реинвестировать и дать атмосферу, а не квадратные метры, тот продолжит работать, или 450 руб. за «квадрат» в месяц станет пределом.
Рейтинг бизнес-центров по числу услуг, входящих в ставку аренды

Вахтанг Чикаберидзе, управляющий партнер компании DevelopmentPRO
Влияние, которое ограничения, связанные с эпидемией коронавируса, оказали на рынок офисной недвижимости, можно будет в полной мере оценить в самое ближайшее время. Все-таки приостановка на два месяца для компаний, которые занимаются стратегическими разработками, — не слишком критичный срок, большую часть офисной работы можно выполнять в удаленном режиме. Поэтому о массовом закрытии бизнесов речь, думаю, не идет. С другой стороны, в отличие от кризисов прошлых лет, собственники бизнес-центров проявили большую гибкость по отношению к арендаторам и с большей готовностью шли на снижение размера арендной платы, отсрочку уплаты, потому что очевидно, что в пустующий офис никто в ближайшие пару месяцев точно не заедет.
Сейчас игроки рынка находятся в ожидании новых законодательных норм, которые поставят жирный крест на популярных в последние годы форматах: опенспейс и коворкинг. Скорее всего, после пандемии будут ужесточены санитарно-гигиенические требования к общественным пространствам, и разместить в одном кабинете площадью в 50 кв. м пять пять сотрудников будет уже невозможно. Не говоря уже про открытые офисные пространства, где одновременно находятся пятьдесят, сто работников. Скорее всего, бизнес-центрам, претендующим на класс А, придется модернизировать инженерные системы, чтобы предусмотреть раздельные системы вентиляции не только на каждый этаж, но и на каждое помещение.
Сегодня в Челябинске чувствуется дефицит грамотно спроектированных офисов класса А, а также ретейл-офисов с хорошим трафиком и удобной инфраструктурой. Остро не хватает офисных комплексов на северо-западе, но и в историческом центре города их концентрация слишком низкая: разрозненным зданиям не удается создать «деловое ядро», как, к примеру, в Екатеринбурге.